1. a). The largest 6 digit number is : 666666
b). The smallest 6 digit number is: 100000
2. Write the numbers in figures:
a). Five lakh fifty eight thousand six
hundred nine
b). Seventy eight thousand one hundred
fifty six
Ans:
C
|
TL
|
L
|
T TH
|
TH
|
H
|
T
|
O
|
5
|
5
|
8
|
6
|
0
|
9
|
||
7
|
8
|
1
|
5
|
6
|
a). 558609, b). 78156
3. Write the numbers names:
a). 69,538
b). 57,003
Ans:
C
|
TL
|
L
|
T TH
|
TH
|
H
|
T
|
O
|
6
|
9
|
5
|
3
|
8
|
|||
5
|
7
|
0
|
0
|
3
|
a). Sixty nine thousand five hundred thirty eight.
b). Fifty seven thousand three.
4. Write in expanded form:
a). 49,658
b). 7,83,651
Ans:
a). 4 x 10,000
+ 9 x 1,000 + 6 x 100
+
5 x 10 + 8
b). 7 x 1,00,000
+8 x 10,000 +
3 x 1,000
+ 6 x 100 + 5 x 10
+ 1
5. Use <, > or =
a). 49,658 ___ 98,631
b). 7,83,651 ___ 7,63,214
c). 87,231 ___ 87,231
Ans:
a). 49,658 < 98,631
b). 7,83,651 > 7,63,214
c). 87,231 = 87,231
6. Fill the missing numbers
a). 49,656 ____;
_____; 49,659
b). ____; 7,420; ____; _____
Ans:
a). 49,656; 49,657; 49,658; 49,659
b). 7,419; 7,420; 7,421; 7,422
7. Write the Place value and Face value of the red coloured digit in each of the following numbers:
a). 67,532
b). 57,907
Ans:
a). Place value of 7= 7 x 1,000=7,000
b). Place value of 9= 9 x 1,00=900
c). Face value of 7= 7
d). Face value of 9= 9
8. Indian System of Numeration:
9. International System of Numeration:
11. Arrange the numbers in ascending order:
12. Successor and Predecessor of a number:
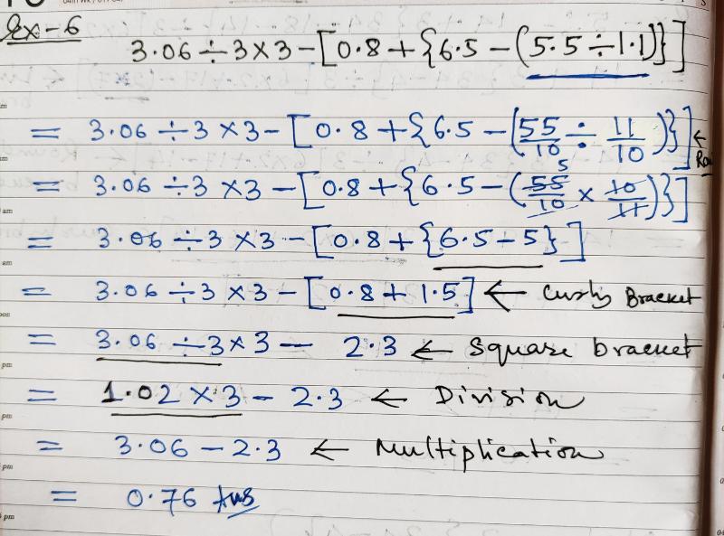
13. Simplification Rules:




















0 Comments
Thank you for your comment.